地震数据插值是在野外数据不足或某些道缺失时进行高分辨率成像的必要步骤。稀疏反演是地震数据插值的一种重要方法,它需要稀疏变换来建立反演模型。现有的大多数促进稀疏性的插值方法都是基于凸函数正则化的,特别是 L1 范数。一些研究表明,使用非凸函数作为正则化项的非凸正则化可以比 L1 范数获得更好的稀疏性,并且产生更快更好的结果。但是这种方法比凸正则化稳定性差,只适用于无噪声数据的插值。
为了克服含噪数据的插值问题,提高非凸正则化的稳定性,BB贝博曹静杰教授带领的地震信号处理与应用团队提出了一种新的非凸函数,称为反正切函数,来构造反演模型,还提出了一种基于梯度的预测-投影方法来求解所提出的模型。在每次迭代中,首先用梯度更新算法得到一个预测解,然后将其投影到一个凸集上来更新迭代解,并且以预测解而不是投影解作为最终结果输出。在模拟数据和实际数据的测试表明,该非凸正则化方法对于无噪声和有噪声数据的插值都表现良好。该研究得到了国家自然科学基金项目、河北省自然科学基金杰青项目、河北省“三三三人才工程”项目和BB贝博艾弗森官网科学技术创新团队项目的联合资助,研究成果发表于学术期刊Journal of Applied Geophysics。该期刊位于中科院SCI期刊分区工程技术大类3区行列,在石油科学领域具有较强影响力。
含噪地震数据的插值是地震数据处理流程中的重要一步,研究团队提出的基于非凸正则化插值方法,可以很好的对含噪数据进行同时插值和去噪。相比于其他方法,该方法在模拟和实际数据的插值效果上都有明显提高(图2、图5)。


(a) (b)
图1. 模拟含噪数据: (a) 原始数据;(b)60%随机采样数据。


(a) (b)


(c) (d)
图2.不同方法对图1b数据的插值结果:(a)SL0方法;(b)ISTc方法;(c)POCS方法(d)非凸正则化方法。

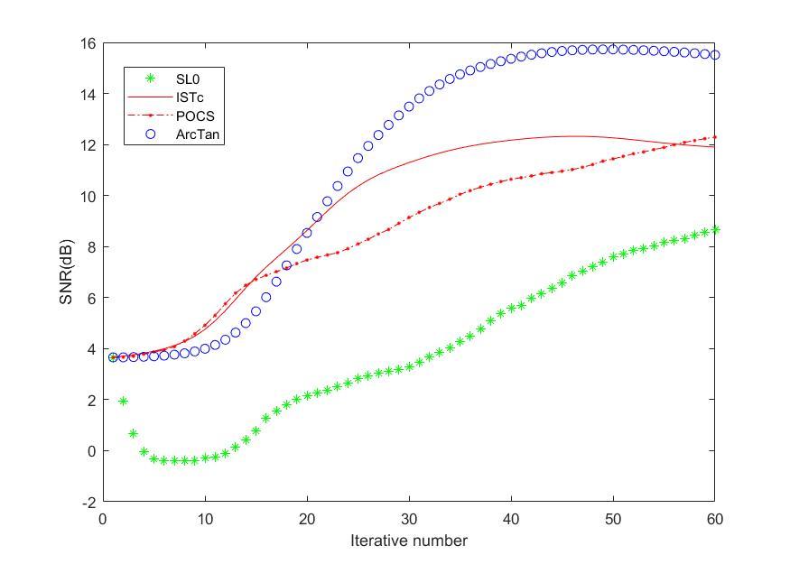
图3. 模拟数据不同插值方法的信噪比对比。


(a) (b)
图4. 含噪实际数据:(a)原始数据;(b)60%随机采样数据。


(a) (b)


(c) (d)
图5. 不同方法对图4b数据的插值结果:(a)SL0方法;(b)ISTc方法;(c)POCS方法;(d)非凸正则化方法。
地震信号处理与应用团队提出的非凸正则化方法改善了以往非凸正则化方法不稳定的问题,通过模拟数据和实际数据的测试证明了该非凸正则化方法可以提供类似于 L1 范数正则化的稳健和稳定的结果。所提出的方法不仅可以处理无噪声数据,还可以处理噪声数据插值,可以得到同时插值和去噪的稳定结果。
文献来源:Helong Yang, Jingjie Cao, Xue Chen, Interpolation of irregularly sampled seismic data via non-convex regularization, Journal of Applied Geophysics, Volume 215, 2023, 105073. ISSN 0926-9851, https://doi.org/10.1016/j.jappgeo.2023.105073.